Trigonometric equations

 

Trigonometric Equation

A trigonometric equation is an equation involving one or more than one trigonometric function as a variable. The trigonometric equation is true for one or more values of the variables but not for every value of the variable. For example, if sin q = 1/2, one value of q (the smallest positive value) is known to be 30o. Now, sine of the supplementary angles equal, hence sin 150o being equal to sin 30o is also 1/2. Again, angle differing from 30o or 150o by complete multiple of 360o will have their sines the same. Thus sine of each of the angles 30o, 150o, 390o, 510o etc. is equal to 1/2.

The set of all possible solutions of a trigonometric equation form the general solution of the equation.

General solution of trigonometric equations sin q = k, cos q = k and tan q = k

1.          General solution of sin q = k, (-1 £ k £ 1)

             Let a be smallest positive angle whose sine is k.

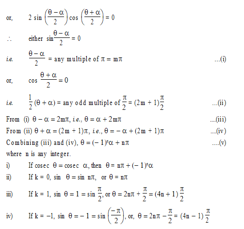
             Then, sin q = sin a

    or, sin q - sin a = 0

























2.    General solution of cos q = k (- 1 £  k £ 1).

Let a be the smallest positive angle such that its cosine is equal to k, then

     cos q =  cos a

or,  cos q - cos a = 0

























    3.   General solution of tan q = k (- ¥ < k < ¥).

Let a be the smallest positive angle such that its tangent is equal to k. Then

             tan q = tan a
















Note: Extraneous solutions

In general, the same trigonometrical equation can be solved by different methods, and the forms of the result we arrive at. Though apparently different in some cases, are ultimately equivalent. In some cases, however, we may be tempted to solve a trigonometrical equation by methods which have flaws in them leading to solutions which include, in addition to the correct solutions, some extraneous solutions which do not satisfy the given equation, the given equation which is of the type a cos q + b sin q = c is an example. We proceed to demonstrate it as follows:




















Some General Values

 

Equation

General value

 

Equation

General value

1.

sin x = sin a

x = np + (-1)n a

2.

cos x = cos a

x = 2np ± a

3.

tan x = tan a

x = np + a

4.

cot x = cot  a

x = np + a

5.

sec x = sec a

x = 2np ± a

6.

cosec x = cosec a

 x = np+(-1)n a

7.

sin x = 0

x = np

8.

cos x = 0

x =(4n + 1)p/2

9.

tan x = 0

x = np

10.

cot x = 0

no solution

11.

sec x = 0

x = (4n + 1)p/2

12.

cosec x = 0

no solution

13.

sin2 x = sin2 a

x = np ± a

14.

cos2 x = cos2 a

x = np ± a

15.

 tan2 x = tan2 a

x = np ± a

16.

cot2 x = cot2 a

x = np ± a

17.

sec2x = sec2 a

x = np ± a

18.

cosec2x = cosec2a

x = np ± a





















Post a Comment

0 Comments