Course Outline
& Integration as the limit of a sum.
& Geometrical interpretation of f '(x) dx.
& General
properties of definite integral.
& Methods
of evaluating infinite (or improper) integrals.
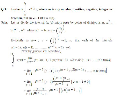
Solved Problems
Course Outline
& Integration as the limit of a sum.
& Geometrical interpretation of f '(x) dx.
& General
properties of definite integral.
& Methods
of evaluating infinite (or improper) integrals.
0 Comments